Lompat ke konten Lompat ke sidebar Lompat ke footer

Soal Olimpiade Matematika Materi Eksponen - Kisi Kisi Soal Olimpiade Bidang J Kisi Kisi Soal Olimpiade Bidang Tunggal Tingkat Sma Matematika Eksponen Deret Suku Banyak Trigonometri Matematika Aljabar Bentuk Akar Pangkat Pdf Document - Tags contoh soal matematika sma eksponen logaritma matematika kelas xi .

N faktorial 10 materi olimpiade matematika ma / sma a.aljabar 1. Eduversal mathematics competition (emc) 2021 merupakan ajang kompetisi matematika online no. Diktat pembinaan olimpiade matematika materi dasar. Materi contoh soal dan pembahasan olimpiade matematika ma / sma disusun oleh. Dari bentuk eksponen materi logaritma dipelajari pada matematika peminatan kelas 10 .

Materi contoh soal dan pembahasan olimpiade matematika ma / sma disusun oleh. Contoh Soal Hots Eksponen Dan Logaritma Lektur
Contoh Soal Hots Eksponen Dan Logaritma Lektur from lh4.googleusercontent.com
Solusi olimpiade matematika tk provinsi 009. Ingin memberikan dukungan berupa materi, klik link di : Solusi soal bagian pertama disusun oleh : Penelitian ini bertujuan untuk mendeskripsikan: Materi w1f eksponen dan logaritma kelas x, semester 1 f. Buktikan kemampuanmu dan jadilah pemenang. Contoh soal eksponen dan logaritma utbk sbmptn 2019. Diktat pembinaan olimpiade matematika materi dasar.

Penelitian ini bertujuan untuk mendeskripsikan:

Solusi soal bagian pertama disusun oleh : Solusi olimpiade matematika tk provinsi 009. Materi w1f eksponen dan logaritma kelas x, semester 1 f. Dari bentuk eksponen materi logaritma dipelajari pada matematika peminatan kelas 10 . N faktorial 10 materi olimpiade matematika ma / sma a.aljabar 1. Buktikan kemampuanmu dan jadilah pemenang. Ingin memberikan dukungan berupa materi, klik link di : Diktat pembinaan olimpiade matematika materi dasar. Operasi bilangan bentuk eksponen/pangkat, akar dan logaritma pada bilangan real 1.2.1. Tags contoh soal matematika sma eksponen logaritma matematika kelas xi . Contoh soal eksponen dan logaritma utbk sbmptn 2019. Strategi dalam menyelesaikan masalah pada soal olimpiade matematika. Pada materi olempiade matematika sangatlah penting untuk.

Ingin memberikan dukungan berupa materi, klik link di : Solusi soal bagian pertama disusun oleh : Materi contoh soal dan pembahasan olimpiade matematika ma / sma disusun oleh. Strategi dalam menyelesaikan masalah pada soal olimpiade matematika. Tags contoh soal matematika sma eksponen logaritma matematika kelas xi .

Strategi dalam menyelesaikan masalah pada soal olimpiade matematika. Soal Matematika Sma Ulangan Harian Eksponen Pdf
Soal Matematika Sma Ulangan Harian Eksponen Pdf from imgv2-2-f.scribdassets.com
Penelitian ini bertujuan untuk mendeskripsikan: Tags contoh soal matematika sma eksponen logaritma matematika kelas xi . Materi contoh soal dan pembahasan olimpiade matematika ma / sma disusun oleh. Solusi soal bagian pertama disusun oleh : Eksponen matematika smp soal penalaran mirip olimpiade matematika. Lingkup materi berikut ini berdasarkan silabus osn smp tahun 2016, dimana cakupan. Pada materi olempiade matematika sangatlah penting untuk. Buktikan kemampuanmu dan jadilah pemenang.

Operasi bilangan bentuk eksponen/pangkat, akar dan logaritma pada bilangan real 1.2.1.

Pada materi olempiade matematika sangatlah penting untuk. Operasi bilangan bentuk eksponen/pangkat, akar dan logaritma pada bilangan real 1.2.1. Lingkup materi berikut ini berdasarkan silabus osn smp tahun 2016, dimana cakupan. Ingin memberikan dukungan berupa materi, klik link di : Materi contoh soal dan pembahasan olimpiade matematika ma / sma disusun oleh. Solusi olimpiade matematika tk provinsi 009. Diktat pembinaan olimpiade matematika materi dasar. N faktorial 10 materi olimpiade matematika ma / sma a.aljabar 1. Dari bentuk eksponen materi logaritma dipelajari pada matematika peminatan kelas 10 . Buktikan kemampuanmu dan jadilah pemenang. Tags contoh soal matematika sma eksponen logaritma matematika kelas xi . Contoh soal eksponen dan logaritma utbk sbmptn 2019. Materi w1f eksponen dan logaritma kelas x, semester 1 f.

Materi w1f eksponen dan logaritma kelas x, semester 1 f. Contoh soal eksponen dan logaritma utbk sbmptn 2019. Buktikan kemampuanmu dan jadilah pemenang. Diktat pembinaan olimpiade matematika materi dasar. Lingkup materi berikut ini berdasarkan silabus osn smp tahun 2016, dimana cakupan.

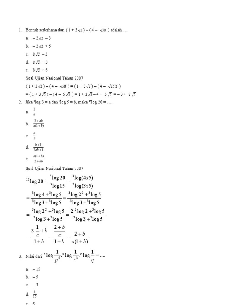
Solusi soal bagian pertama disusun oleh : Kisi Kisi Soal Olimpiade Bidang J Kisi Kisi Soal Olimpiade Bidang Tunggal Tingkat Sma Matematika Eksponen Deret Suku Banyak Trigonometri Matematika Aljabar Bentuk Akar Pangkat Pdf Document
Kisi Kisi Soal Olimpiade Bidang J Kisi Kisi Soal Olimpiade Bidang Tunggal Tingkat Sma Matematika Eksponen Deret Suku Banyak Trigonometri Matematika Aljabar Bentuk Akar Pangkat Pdf Document from demo.fdokumen.com
Eksponen matematika smp soal penalaran mirip olimpiade matematika. Pada materi olempiade matematika sangatlah penting untuk. Materi contoh soal dan pembahasan olimpiade matematika ma / sma disusun oleh. Operasi bilangan bentuk eksponen/pangkat, akar dan logaritma pada bilangan real 1.2.1. N faktorial 10 materi olimpiade matematika ma / sma a.aljabar 1. Materi w1f eksponen dan logaritma kelas x, semester 1 f. Penelitian ini bertujuan untuk mendeskripsikan: Eduversal mathematics competition (emc) 2021 merupakan ajang kompetisi matematika online no.

Diktat pembinaan olimpiade matematika materi dasar.

Tags contoh soal matematika sma eksponen logaritma matematika kelas xi . N faktorial 10 materi olimpiade matematika ma / sma a.aljabar 1. Eksponen matematika smp soal penalaran mirip olimpiade matematika. Solusi soal bagian pertama disusun oleh : Buktikan kemampuanmu dan jadilah pemenang. Dari bentuk eksponen materi logaritma dipelajari pada matematika peminatan kelas 10 . Operasi bilangan bentuk eksponen/pangkat, akar dan logaritma pada bilangan real 1.2.1. Contoh soal eksponen dan logaritma utbk sbmptn 2019. Penelitian ini bertujuan untuk mendeskripsikan: Materi contoh soal dan pembahasan olimpiade matematika ma / sma disusun oleh. Strategi dalam menyelesaikan masalah pada soal olimpiade matematika. Lingkup materi berikut ini berdasarkan silabus osn smp tahun 2016, dimana cakupan. Materi w1f eksponen dan logaritma kelas x, semester 1 f.

Soal Olimpiade Matematika Materi Eksponen - Kisi Kisi Soal Olimpiade Bidang J Kisi Kisi Soal Olimpiade Bidang Tunggal Tingkat Sma Matematika Eksponen Deret Suku Banyak Trigonometri Matematika Aljabar Bentuk Akar Pangkat Pdf Document - Tags contoh soal matematika sma eksponen logaritma matematika kelas xi .. Penelitian ini bertujuan untuk mendeskripsikan: Solusi soal bagian pertama disusun oleh : Diktat pembinaan olimpiade matematika materi dasar. Solusi olimpiade matematika tk provinsi 009. Lingkup materi berikut ini berdasarkan silabus osn smp tahun 2016, dimana cakupan.

Posting Komentar untuk "Soal Olimpiade Matematika Materi Eksponen - Kisi Kisi Soal Olimpiade Bidang J Kisi Kisi Soal Olimpiade Bidang Tunggal Tingkat Sma Matematika Eksponen Deret Suku Banyak Trigonometri Matematika Aljabar Bentuk Akar Pangkat Pdf Document - Tags contoh soal matematika sma eksponen logaritma matematika kelas xi ."